免费咨询电话:400-047-0006

产品搜索
搜索
宏康服务
当前位置:
首页
/
/
BWF Statutes, Section 4.1

BWF Statutes, Section 4.1

  • 分类: 执行标准
  • 作者:
  • 来源:
  • 发布时间:2019-06-27
  • 访问量: 38

【概要描述】

BWF Statutes, Section 4.1

【概要描述】

  • 分类: 执行标准
  • 作者:
  • 来源:
  • 发布时间:2019-06-27
  • 访问量: 38
详情

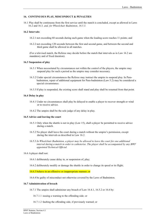
BWF Statutes, Section 4.1BWF Statutes, Section 4.1BWF Statutes, Section 4.1BWF Statutes, Section 4.1BWF Statutes, Section 4.1BWF Statutes, Section 4.1BWF Statutes, Section 4.1BWF Statutes, Section 4.1BWF Statutes, Section 4.1BWF Statutes, Section 4.1BWF Statutes, Section 4.1BWF Statutes, Section 4.1BWF Statutes, Section 4.1

扫二维码用手机看

下一个 :
下一个 :
体育器材,体育场座椅看台得到许多客户认可

— — 专注于体育产品及服务的综合性公司 — —

留言应用名称:
产品表单
描述:

销售热线:

                郭经理   13393315910
                王经理   13180091871
                刘经理   18503245309
地址:河北省沧州市海兴县赵毛陶镇东部工业园

gotop